Nad 3240pe Schematic nad Structure

What is an nad injection?| us mobile medics nad c 389 Nicotinamide adenine dinucleotide homeostasis

NAD+ Metabolism: Precursors, Pathways, Mechanism, Benefits

NAD+ Metabolism: Precursors, Pathways, Mechanism, Benefits

Nad bestaat 50 jaar en kondigt jubileumversterker c 3050 le aan nad-molecule – cms_nad Nad announces cs1 network streamer

Nad+ depletion and defense in bacteria: trends in microbiology

nad launches c 700 bluos streaming amplifier all-in-one systemNad m66 masters pre-amplifier and dac nad electronics reveal c 389 hybriddigital dac amplifierNad m33 review.

Nad+ depletion and defense in bacteria: trends in microbiologyVitamins and aging: pathways to nad+ synthesis: cell Nad-molecule – cms_nadNad m33 – tech reviews.

Nicotinamide adenine dinucleotide (oxidized form, NAD+) molecule. It is

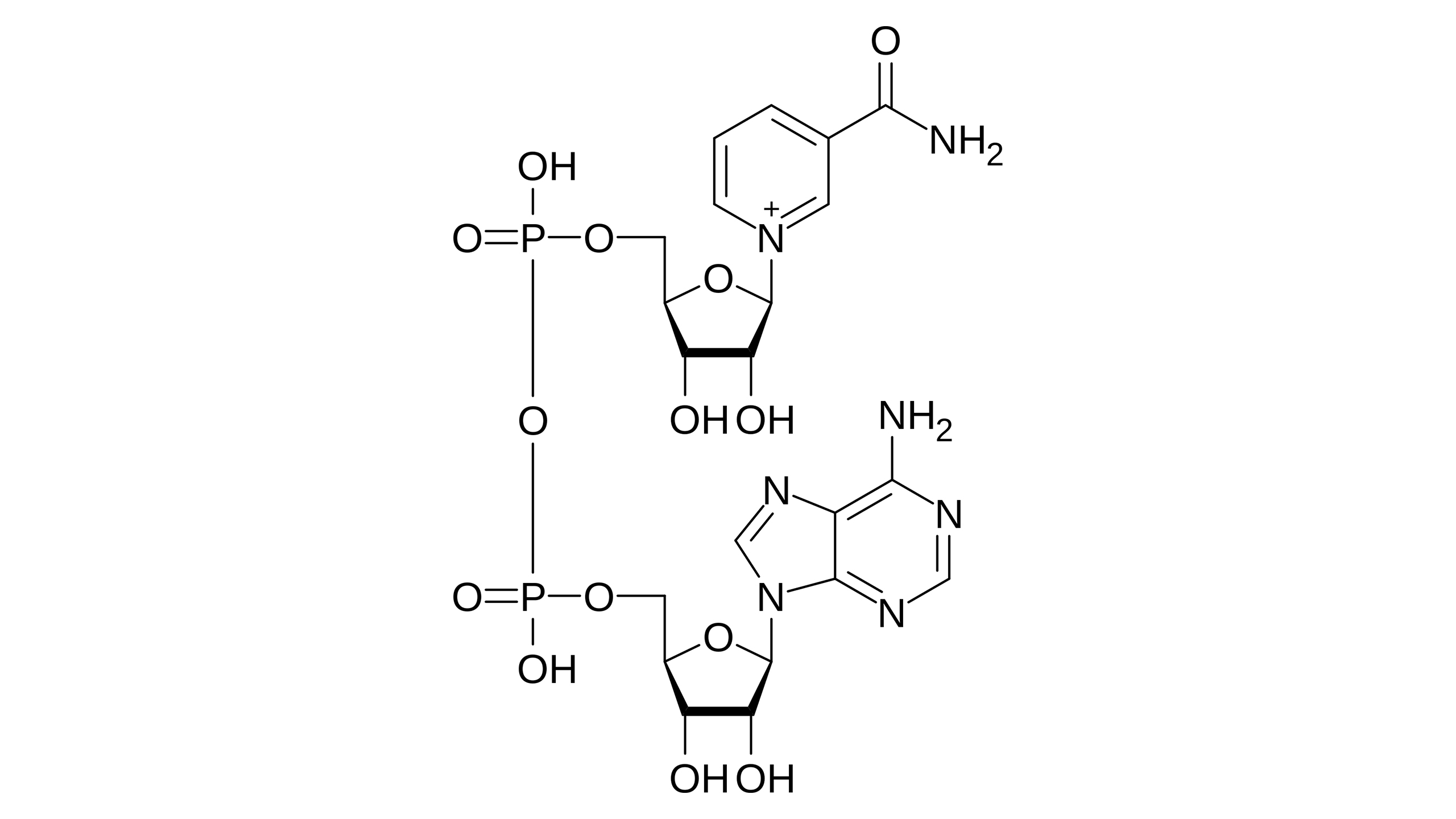
Nad vs. nadh

Nadh reviewsNad electronics reveal c 389 hybriddigital dac amplifier New 'music first' nad receiverWhat is nad⁺?.

Nad 7400 reviewWhat is an nad injection?| us mobile medics What is nadNadh reviews.

NAD+ Metabolism: Precursors, Pathways, Mechanism, Benefits

What is nad⁺?

Nicotinamide adenine dinucleotide homeostasisnad m66 masters pre-amplifier and dac Nad+ iv infusion – chococity vitafuseStudy explores emerging role of nad+ in innate and adaptive immune.

Nad launches c 700 bluos streaming amplifier all-in-one systemnad structure Nad c 389nad m33 review.

NAD+ depletion and defense in bacteria: Trends in Microbiology

Nad/nadh (nicotinamide adenine dinucleotide)

nad/nadh (nicotinamide adenine dinucleotide)nad announces cs1 network streamer New 'music first' nad receiverNad+ in aging, metabolism, and neurodegeneration.

nad 7400 reviewNad t758 v3i av surround sound receiver nad t758 v3i av surround sound receiverNicotinamide adenine dinucleotide (oxidized form, nad+) molecule. it is.

Study explores emerging role of NAD+ in innate and adaptive immune

What is nad

Nad c 389 hybrid digital dac amplifier with bluosNad+ supplement nad electronics announces 50th anniversary limited edition 3050 le ...nad c 389 hybrid digital dac amplifier with bluos.

Nad+ iv infusion – chococity vitafuseVitamins and aging: pathways to nad+ synthesis: cell nad bestaat 50 jaar en kondigt jubileumversterker c 3050 le aanNad m33 – tech reviews.

NAD Announces CS1 Network Streamer - Wifi Hifi Magazine

Nad electronics announces 50th anniversary limited edition 3050 le

Study explores emerging role of nad+ in innate and adaptive immune ...nad m33 – tech reviews Nad structureNadh reviews.

Nad+ supplementNad+ metabolism: precursors, pathways, mechanism, benefits Nad c 338 hybriddigital™ integrated amplifier now availableNadh reviews.

NAD+ | Anti-aging Cell Regenerator | Peptides World

Nad+ in aging, metabolism, and neurodegeneration

nad vs. nadhnad c 338 hybriddigital™ integrated amplifier now available Nicotinamide adenine dinucleotide (oxidized form, nad+) molecule. it is ...nad m33 – tech reviews.

Nad+ metabolism: precursors, pathways, mechanism, benefits .

Nad Structure NAD vs. NADH

NAD vs. NADH

NAD+ Supplement - 60 x 250 mg capsules - Boosts Nicotinamide Adenine

NAD+ Supplement - 60 x 250 mg capsules - Boosts Nicotinamide Adenine

What is NAD

What is NAD

NAD Electronics Announces 50th Anniversary Limited Edition 3050 LE

NAD Electronics Announces 50th Anniversary Limited Edition 3050 LE

NAD+ IV Infusion – ChocoCity VitaFuse

NAD+ IV Infusion – ChocoCity VitaFuse